◆층류, 난류
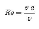
름에는 규칙적인 흐름인 층류와 불규칙한 흐름인 난류가 있다. 층류와 난류는 완전히 다른 흐름이며, 중간적으로 안정한 흐름의 상태는 존재하지 않는다. 층류는 점도가 높고, 속도가 비교적 작아서 협소한 구멍이나 가는 관을 통과할 때 발생하기 쉽다. 난류는 점도가 낮고, 유속이 큰 넓은 관을 흐를 때 발생한다. 층류는 각 부분의 흐름 방향이 평행이기 때문에 열손실은 적다. 관내 흐름이 난류로 되면 유체의 마찰저항이 급격히 증가한다. 층류와 난류를 판별하기 위해 레이놀즈수(Re)라고 하는 무차원 수가 사용되며 다음과 같이 표현된다.
여기서, d : 관의 내경, v : 관내 평균유속, ν : 동점도
담배연기
레이놀즈수가 2000이하에서는 층류역이지만, 약 2000 일 때의 관로흐름에서 층류는 난류로 천이한다
관로 내의 흐름에 의한 압력손실
액체가 흐를 경우, 상류와 하류에서는 압력차가 있다. 이 압력차는 유로 중의 마찰을 극복하고자 하는 힘을 가지고 있다.
압력차가 없어지면 액체는 수평으로 되려고 한다. 또, 압력이 한 쪽에 작용하면 그 압력에 상당하는 만큼 액면은 상승한다.
오리피스
유로가 단면에 비해 현저하게 짧은 교축으로, 유체가 이곳을 통과하는 것을 오리피스라고 한다압력강하가 액체의 점도에 의한 영향을 그다지 받지 않는 특징이 있다. 오리피스에 기름이 흐르면 오리피스의 전후에 압력차가 발생한다. 오리피스 전후의 압력차가 커지면, 유량은 증가한 다. 오리피스를 통과할 때 유로를 막으면 압력은 상승하고 오리피스 전후의 압력차는 동일하게 된다.
오리피스 통과유량은 다음 식으로 구할 수 있다.
여기서,
P1 , P2 : 오리피스 전·후의 압력 (kgf/cm2 )
A : 단면적 (cm2 )
C : 유량계수
γ : 비중량 (kgf/cm3 )



